Упр.4.4 ГДЗ Мерзляк 10 класс Углубленный уровень (Алгебра)
Решение #1

Рассмотрим вариант решения задания из учебника Мерзляк, Номировский, Поляков 10 класс, Просвещение:
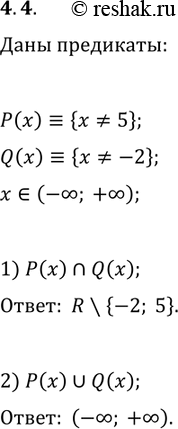
4.4. На множестве R заданы предикаты P(x)?{x?5), Q(x)?{x?-2}. Укажите область истинности предиката: 1) P(x)?Q(x); 2) P(x)?Q(x).
Похожие решебники
Популярные решебники 10 класс Все решебники
*размещая тексты в комментариях ниже, вы автоматически соглашаетесь с пользовательским соглашением