Упр.4.28 ГДЗ Дорофеев Суворова 9 класс (Алгебра)
Решение #1

Рассмотрим вариант решения задания из учебника Дорофеев, Суворова, Бунимович 9 класс, Просвещение:
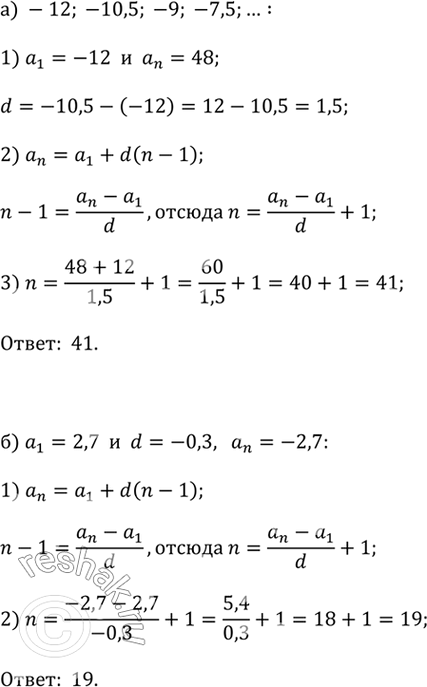
а) Дана арифметическая прогрессия
-12; -10,5; -9; -7,5; ... .
Какой номер имеет член прогрессии, равный 48?
б) Первый член арифметической прогрессии равен 2,7, а разность равна -0,3. Какой номер имеет член этой прогрессии, равный -2,7?
Популярные решебники 9 класс Все решебники
*К сожалению, временные проблемы с публикацией комментариев с мобильных устройств.