Упр.4.34 ГДЗ Дорофеев Суворова 9 класс (Алгебра)
Решение #1

Рассмотрим вариант решения задания из учебника Дорофеев, Суворова, Бунимович 9 класс, Просвещение:
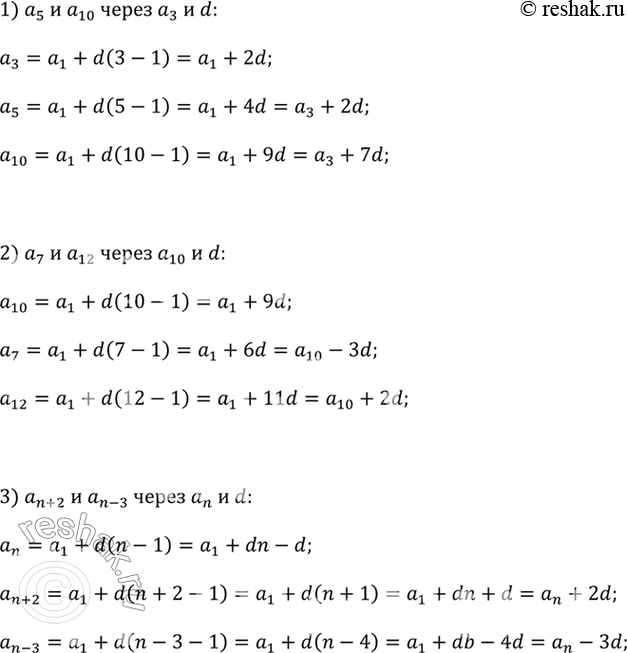
Известно, что (а_n) — арифметическая прогрессия. Выразите:
1) а_5 и а_10 через а_3 и d;
2) a_7 и а_12 через а_10 и d;
3) а_(n+2) и а_(n-3) через а_n и d.
Популярные решебники 9 класс Все решебники
*К сожалению, временные проблемы с публикацией комментариев с мобильных устройств.