Упр.391 ГДЗ Мерзляк Полонский 8 класс (Алгебра)
Решение #1 (Учебник 2025)
Решение #2 (Учебник 2019)
Решение #3 (Учебник 2019)

Рассмотрим вариант решения задания из учебника Мерзляк, Полонская, Якир 8 класс, Просвещение:
Какое число надо прибавить к числителю и к знаменателю дроби 11/17, чтобы образовалась дробь, равная 3/4?
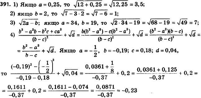
Найдите значение выражения:
1) корень (12+a), если a=0,25;
2) корень (7-3b), если b=2;
3) корень (2a-b), если a=34, b=19.
Похожие решебники
Популярные решебники 8 класс Все решебники
*К сожалению, временные проблемы с публикацией комментариев с мобильных устройств.