Упр.388 ГДЗ Мерзляк 8 класс (Алгебра)
Решение #1
Решение #2
Решение #3

Рассмотрим вариант решения задания из учебника Мерзляк, Полонская, Якир 8 класс, Вентана-Граф:
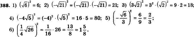
388. Вычислите:
1) (корень 6)2;
2) (- корень 21)2;
3) (3 корень 2)2;
4) (- 4 корень 5)2;
5) (- корень 6 /3)2;
6) (1/4 * корень 26)2.
Похожие решебники
Популярные решебники 8 класс Все решебники
*К сожалению, временные проблемы с публикацией комментариев с мобильных устройств.