Упр.389 ГДЗ Мерзляк Полонский 8 класс (Алгебра)
Решение #1 (Учебник 2025)
Решение #2 (Учебник 2019)
Решение #3 (Учебник 2019)

Рассмотрим вариант решения задания из учебника Мерзляк, Полонская, Якир 8 класс, Просвещение:
Упростите выражение:
1) 1/6a - (6a + b)/6ab;
2) 5/(a^2 - 4b^2) - 5/(a - 2b);
3) 2m/(m^2 - 36n^2) · (mn - 6n^2);
4) 7c^2/(c^2 - 16a^2) : c/(c^2 - 4ac).
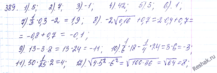
Найдите значение выражения:
1) корень (16+9);
2) корень 16 + корень 9;
3) корень 36 - корень 49;
4) корень 36 * корень 49;
5) 5 корень 4 - корень 25;
6) корень 0,81 + корень 0,01;
7) 1/3 * корень 0,09 -2;
8) -2 корень 0,16 + 0,7;
9) (корень 13)2 - 3* (корень 8)2;
10) 1/6* (корень 18)2 - (1/2* корень 24)2;
11) 50 * (-1/5 * корень 2)2;
12) корень (4 * 5^2 - 6^2).
Похожие решебники
Популярные решебники 8 класс Все решебники
*К сожалению, временные проблемы с публикацией комментариев с мобильных устройств.