Упр.387 ГДЗ Мерзляк Полонский 8 класс (Алгебра)
Решение #1 (Учебник 2025)
Решение #2 (Учебник 2019)
Решение #3 (Учебник 2019)

Рассмотрим вариант решения задания из учебника Мерзляк, Полонская, Якир 8 класс, Просвещение:
Постройте график функции y = (x^5 + x^4)/(x^2 + x).
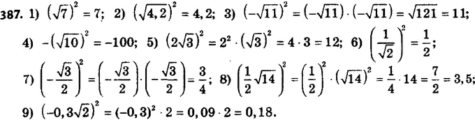
Найдите значение выражения:
1) (корень 7)2;
2) (корень 4,2)2;
3) (- корень 11)2;
4) - (корень 10)2;
5) (2 корень 3)2;
6) (1/корень 2)2;
7) (- корень 3 /2)2;
8) (1/2 * корень 14)2;
9) (-0,3 корень 2)2.
Похожие решебники
Популярные решебники 8 класс Все решебники
*К сожалению, временные проблемы с публикацией комментариев с мобильных устройств.