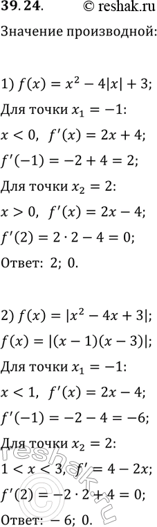
Упр.39.24 ГДЗ Мерзляк 10 класс Углубленный уровень (Алгебра)
Решение #1

Рассмотрим вариант решения задания из учебника Мерзляк, Номировский, Поляков 10 класс, Просвещение:
39.24. В точках x_1=-1 и x_2=2 найдите производную функции:
1) f(x)=x^2-4|x|+3; 2) f(x)=|x^2-4x+3|.
Похожие решебники
Популярные решебники 10 класс Все решебники
*размещая тексты в комментариях ниже, вы автоматически соглашаетесь с пользовательским соглашением