Упр.39.25 ГДЗ Мерзляк 10 класс Углубленный уровень (Алгебра)
Решение #1

Рассмотрим вариант решения задания из учебника Мерзляк, Номировский, Поляков 10 класс, Просвещение:
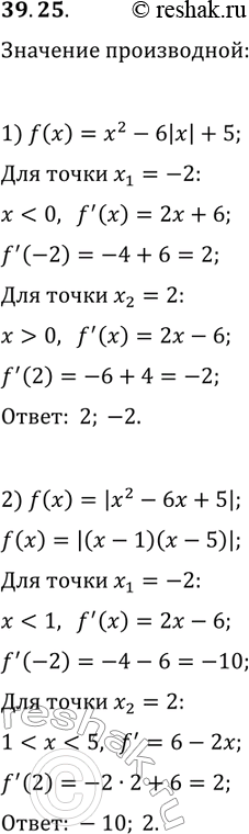
39.25. В точках x_1=-2 и x_2=2 найдите производную функции:
1) f(x)=x^2-6|x|+5; 2) f(x)=|x^2-6x+5|.
Похожие решебники
Популярные решебники 10 класс Все решебники
*размещая тексты в комментариях ниже, вы автоматически соглашаетесь с пользовательским соглашением