Упр.38.2 Часть 2 ГДЗ Мордкович Семенов 7 класс (Алгебра)
Решение #1 (Учебник 2025)
Решение #2 (Учебник 2019)

Рассмотрим вариант решения задания из учебника Мордкович, Семенов, Александрова 7 класс, Бином:
Разложите многочлен на множители с помощью вынесения общего множителя за скобки.
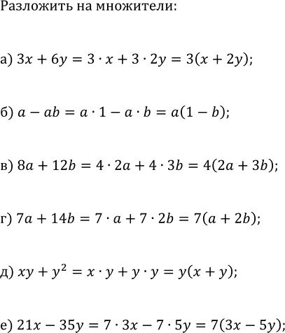
а) 3x + 6y; г) 7a + 14b;
б) a - ab; д) xy + y^2;
в) 8a + 12b; е) 21x - 35y.
Объясните, почему тождественно равны данные выражения:
а) 2а · 7 и 14а;
б) а(b - c) и ab + ac;
в) (4(a + b))/4 и a + b;
г) 8k + 3n и 3n + 8k;
д) 5(m - n) и 0;
е) (2m - 2m)/7 и 0.
Похожие решебники
Популярные решебники 7 класс Все решебники
*К сожалению, временные проблемы с публикацией комментариев с мобильных устройств.