Упр.38.13 ГДЗ Мордкович Семенов 11 класс (Алгебра)
Решение #1 (Учебник 2025)

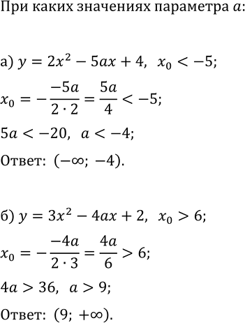
Рассмотрим вариант решения задания из учебника Мордкович, Семенов, Александрова 11 класс, Просвещение:
При каких значениях параметра а:
а) ось симметрии параболы y=2x^2-5ax+4 пересекает ось абсцисс левее точки (—5; 0);
б) ось симметрии параболы y=3x^2-4ax+2 пересекает ось абсцисс правее точки (6; 0)?
Похожие решебники
Популярные решебники 11 класс Все решебники
*К сожалению, временные проблемы с публикацией комментариев с мобильных устройств.