Упр.38.12 ГДЗ Мордкович Семенов 11 класс (Алгебра)
Решение #1 (Учебник 2025)

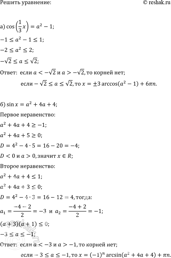
Рассмотрим вариант решения задания из учебника Мордкович, Семенов, Александрова 11 класс, Просвещение:
Для всех значений параметра а решите данное уравнение:
а) cos((1/3)x)=a^2-1; в) sin(-2/5)x=1-a^2;
б) sin(x)=a^2+4a+4; г) cos(x)=a^2-5a-5.
Похожие решебники
Популярные решебники 11 класс Все решебники
*К сожалению, временные проблемы с публикацией комментариев с мобильных устройств.