Упр.36.22 Часть 2 ГДЗ Мордкович Семенов 7 класс (Алгебра)
Решение #1 (Учебник 2019)

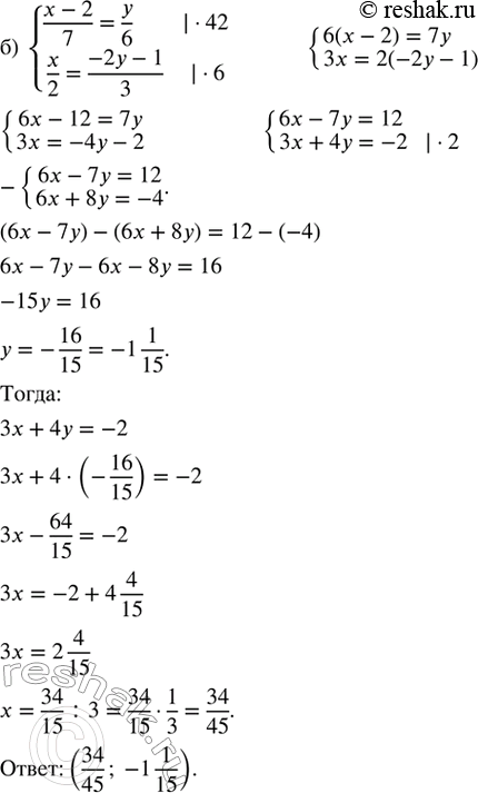
Рассмотрим вариант решения задания из учебника Мордкович, Семенов, Александрова 7 класс, Бином:
Решите систему уравнений:
а) {(x+y)/2 = (y-6)/3; (x+4)/3 = y/2};
б) {(x-2)/7 = y/6; x/2 = (-2y-1)/3}.
Похожие решебники
Популярные решебники 7 класс Все решебники
*К сожалению, временные проблемы с публикацией комментариев с мобильных устройств.