Упр.36.16 Часть 2 ГДЗ Мордкович Семенов 7 класс (Алгебра)
Решение #1 (Учебник 2019)

Рассмотрим вариант решения задания из учебника Мордкович, Семенов, Александрова 7 класс, Бином:
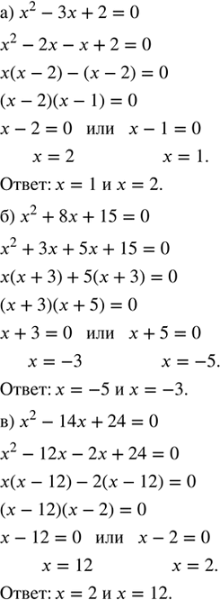
Решите уравнение:
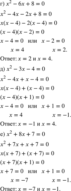
а) x^2 - 3x + 2 = 0; г) x^2 - 6x + 8 = 0;
б) x^2 + 8x + 15 = 0; д) x^2 - 3x - 4 = 0;
в) x^2 - 14x + 24 = 0; е) x^2 + 8x + 7 = 0.
Похожие решебники
Популярные решебники 7 класс Все решебники
*К сожалению, временные проблемы с публикацией комментариев с мобильных устройств.