Упр.36.23 Часть 2 ГДЗ Мордкович Семенов 7 класс (Алгебра)
Решение #1 (Учебник 2019)

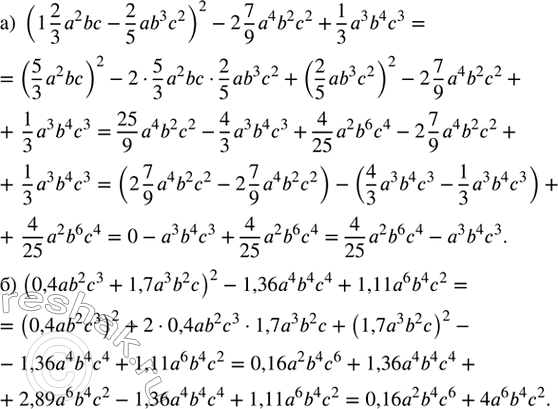
Рассмотрим вариант решения задания из учебника Мордкович, Семенов, Александрова 7 класс, Бином:
Упростите выражение:
а) (1 2/3 a^2 bc - 2/5 ab^3 c^2)^2 - 2 7/9 a^4 b^2 c^2 + 1/3 a^3 b^4 c^3;
б) (0,4ab^2 c^3 + 1,7a^3 b^2 c)^2 - 1,36a^4 b^4 c^4 + 1,11a^6 b^4 c^2.
Похожие решебники
Популярные решебники 7 класс Все решебники
*К сожалению, временные проблемы с публикацией комментариев с мобильных устройств.