Упр.36.17 Часть 2 ГДЗ Мордкович Семенов 7 класс (Алгебра)
Решение #1 (Учебник 2019)

Рассмотрим вариант решения задания из учебника Мордкович, Семенов, Александрова 7 класс, Бином:
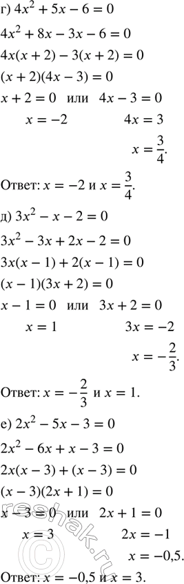
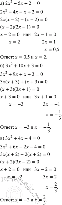
Решите уравнение:
а) 2x^2 - 5x + 2 = 0; г) 4x^2 + 5x - 6 = 0;
б) 3x^2 + 10x + 3 = 0; д) 3x^2 - x - 2 = 0;
в) 3x^2 + 4x - 4 = 0; е) 2x^2 - 5x - 3 = 0.
Похожие решебники
Популярные решебники 7 класс Все решебники
*К сожалению, временные проблемы с публикацией комментариев с мобильных устройств.