🔥ГДЗ под запретом?

Пункт 35 ГДЗ Рабочая тетрадь Ткачёва Виленкин 6 класс (Математика)

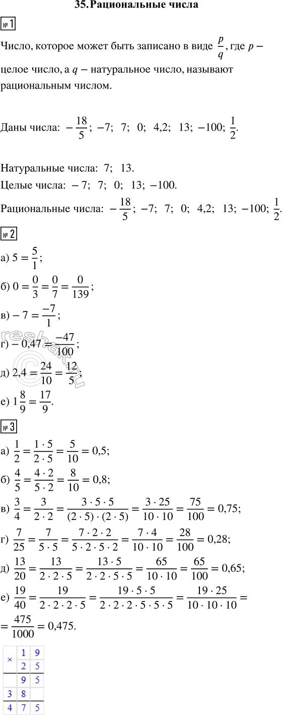
Изображение 1. Распределите числа -18/5; -7; 7; 0; 4,2; 13; -100; 1/2 по следующим строкам (каждое число может попасть более чем в одну строку):натуральные числа:	целые...
Дополнительное изображение

Рассмотрим вариант решения задания из учебника Ткачёва, Виленкин 6 класс, Просвещение:
1. Распределите числа -18/5; -7; 7; 0; 4,2; 13; -100; 1/2 по следующим строкам (каждое число может попасть более чем в одну строку):
натуральные числа:
целые числа:
рациональные числа:
2. Представьте в виде рационального числа p/q (где р — целое число, q — натуральное число) данное число:
а) 5; г) -0,47;
б) 0; д) 2,4;
в) -7; е) 1 8/9.
3. Представьте обыкновенную дробь в виде десятичной:
а) 1/2; б) 4/5; в) 3/4; г) 7/25; д) 13/20; е) 19/40.
4. Сократите обыкновенную дробь и представьте её в виде десятичной:
а) 9/150; б) 21/140; в) 3 6/75.
5. Заполните пропуски: «___ обыкновенную дробь нельзя представить в виде десятичной, если в разложении её знаменателя на простые множители есть хотя бы одно число, отличное от чисел __ и __».
6. Выясните, можно ли данную дробь представить в виде десятичной; если это возможно — запишите её в виде десятичной:
1) 15/12; 2) 7/12; 3) 22/55; 4) 3/125.
7. Запишите в виде периодической десятичной дроби число:
а) 5/6; б) 3/11; в) 1 4/15.
8. Запишите приближения с недостатком и с избытком до сотых значение периодической дроби:
а) 0,(3); б) 0,(7); в) 0,(16).
*Цитирирование задания со ссылкой на учебник производится исключительно в учебных целях для лучшего понимания разбора решения задания.
*К сожалению, временные проблемы с публикацией комментариев с мобильных устройств.