🔥ГДЗ под запретом?

Пункт 34 ГДЗ Рабочая тетрадь Ткачёва Виленкин 6 класс (Математика)

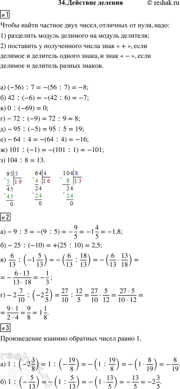
Изображение 1. Вычислите:а) (-56) : 7; б) 42 : (-6); в) 0 : (-69); г) -72 : (-9); д) -95 : (-5); е) -64 : 4; ж) 101 : (-1); з) 104 : 8.2. Найдите частное:а) -9 :...
Дополнительное изображение

Рассмотрим вариант решения задания из учебника Ткачёва, Виленкин 6 класс, Просвещение:
1. Вычислите:
а) (-56) : 7;
б) 42 : (-6);
в) 0 : (-69);
г) -72 : (-9);
д) -95 : (-5);
е) -64 : 4;
ж) 101 : (-1);
з) 104 : 8.
2. Найдите частное:
а) -9 : 5;
б) -25 : (-10);
в) 6/13 : (-1 5/13);
г) -2 7/10 : (-2 2/5).
3. Найдите число, обратное данному:
а) -2 3/8; б) -5/13.
4. Вычислите и сделайте проверку двумя способами: -31,68 : 2,4.
5. Решите уравнение:
а) 0,2 · х = -3,2;
б) -3/8 · y = -9/16;
в) z : (-15) = 5;
г) 1 2/5 : (-c) = 1 13/15;
д) -4,3 · (-n) = -0,43.
*Цитирирование задания со ссылкой на учебник производится исключительно в учебных целях для лучшего понимания разбора решения задания.
*К сожалению, временные проблемы с публикацией комментариев с мобильных устройств.