Упр.34.6 ГДЗ Мордкович Семенов 11 класс (Алгебра)
Решение #1 (Учебник 2025)

Рассмотрим вариант решения задания из учебника Мордкович, Семенов, Александрова 11 класс, Просвещение:
Решите уравнение:
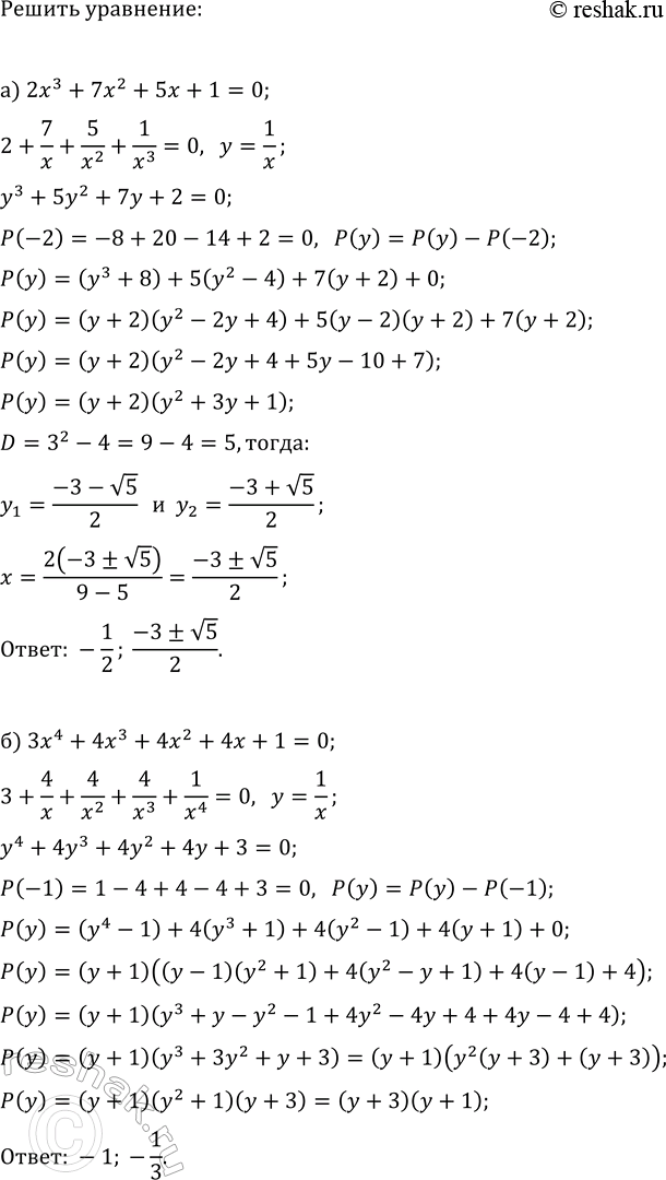
а) 2x^3 + 7x^2 + 5x + 1 = 0;
б) 3x^4 + 4x^3 + 4x^2 + 4x + 1 = 0;
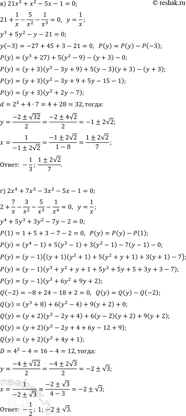
в) 21x^3 + x^2 - 5x - 1 = 0;
г) 2x^4 + 7x^3 - 3x^2 - 5x - 1 = 0.
Похожие решебники
Популярные решебники 11 класс Все решебники
*К сожалению, временные проблемы с публикацией комментариев с мобильных устройств.