Упр.34.2 ГДЗ Мордкович Семенов 11 класс (Алгебра)
Решение #1 (Учебник 2025)

Рассмотрим вариант решения задания из учебника Мордкович, Семенов, Александрова 11 класс, Просвещение:
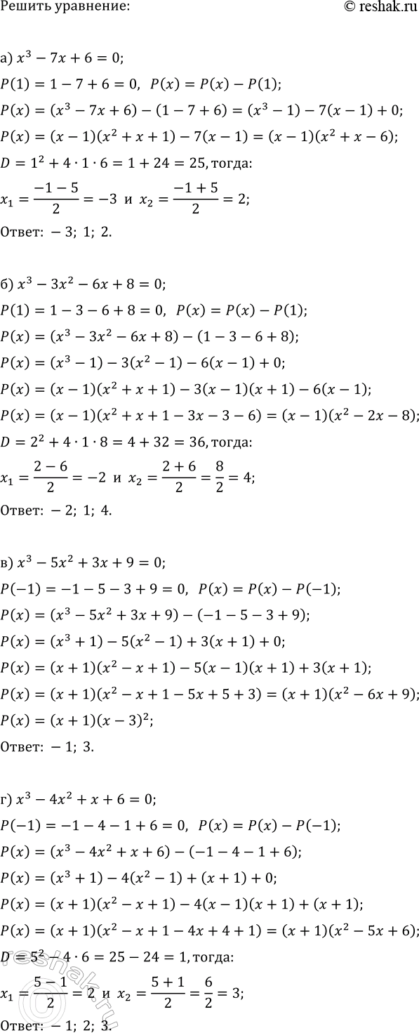
Решите уравнение:
а) x^3 - 7x + 6 = 0; в) x^3 - 5x^2 + 3x + 9 = 0;
б) 3x^3 - 3x^2 - 6x + 8 = 0; г) x^3 - 4x^2 + x + 6 = 0.
Похожие решебники
Популярные решебники 11 класс Все решебники
*К сожалению, временные проблемы с публикацией комментариев с мобильных устройств.