Упр.34.1 ГДЗ Мордкович Семенов 11 класс (Алгебра)
Решение #1 (Учебник 2025)

Рассмотрим вариант решения задания из учебника Мордкович, Семенов, Александрова 11 класс, Просвещение:
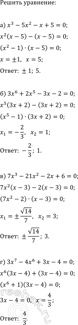
Решите уравнение:
а) x^3 - 5x^2 - x + 5 = 0; в) 7x^3 - 21x^2 - 2x + 6 = 0;
б) 3x^6 + 2x^5 - 3x - 2 = 0; г) 3x^7 - 4x^6 + 3x - 4 = 0.
Похожие решебники
Популярные решебники 11 класс Все решебники
*К сожалению, временные проблемы с публикацией комментариев с мобильных устройств.