Упр.34.3 ГДЗ Мордкович Семенов 11 класс (Алгебра)
Решение #1 (Учебник 2025)

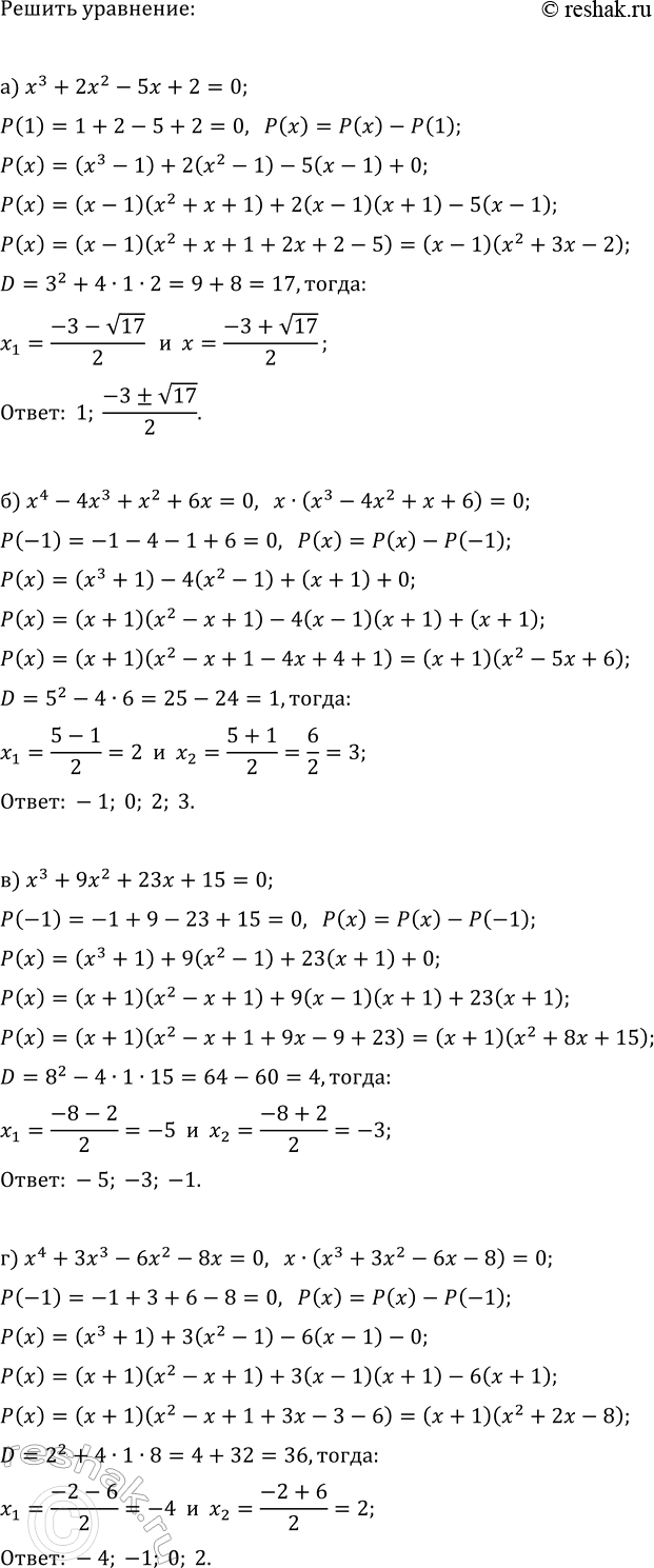
Рассмотрим вариант решения задания из учебника Мордкович, Семенов, Александрова 11 класс, Просвещение:
Решите уравнение:
а) x^3 + 2x^2 - 5x + 2 = 0;
б) x^4 - 4x^3 + x^2 + 6x = 0;
в) x^3 + 9x^2 + 23x + 15 = 0;
г) x^4 + x^3 - 6x^2 - 8x = 0.
Похожие решебники
Популярные решебники 11 класс Все решебники
*К сожалению, временные проблемы с публикацией комментариев с мобильных устройств.