Упр.34.26 Часть 1 ГДЗ Мордкович Семенов 9 класс (Алгебра)
Решение #1 (Учебник 2025)

Рассмотрим вариант решения задания из учебника Мордкович, Семенов, Александрова 9 класс, Просвещение:
Дети играли в штандер, подбрасывая мяч вверх. Когда мяч падал вниз, кто-нибудь из детей должен был его поймать. Если мяч никто не поймал, то тот падал на асфальт и начинал отскакивать. Рассмотрите развитие этой ситуации и ответьте на вопрос задачи:
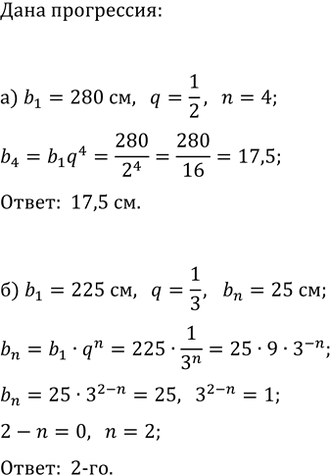
а) При каждом отскоке мяч подлетал на высоту, в 2 раза меньшую по сравнению с предыдущей. На какую высоту подлетит мяч после четвёртого отскока, если первоначально он падал с высоты 280 см?
б) При каждом отскоке мяч подлетал на высоту, в 3 раза меньшую по сравнению с предыдущей. После какого по счёту отскока мяч подлетит на высоту 25 см, если первоначально он был заброшен и падал с высоты 225 см?
Похожие решебники
Популярные решебники 9 класс Все решебники
*К сожалению, временные проблемы с публикацией комментариев с мобильных устройств.