Упр.34.27 Часть 1 ГДЗ Мордкович Семенов 9 класс (Алгебра)
Решение #1 (Учебник 2025)

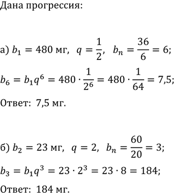
Рассмотрим вариант решения задания из учебника Мордкович, Семенов, Александрова 9 класс, Просвещение:
а) В ходе распада радиоактивного изотопа его масса уменьшается вдвое каждые 6 мин. В начальный момент масса изотопа составляла 480 мг. Найдите массу изотопа через 36 мин. Ответ дайте в миллиграммах.
б) В ходе биологического эксперимента в чашку Петри с питательной средой поместили колонию микроорганизмов массой 23 мг. За каждые 20 мин масса колонии увеличивается в 2 раза. Найдите массу колонии микроорганизмов через 1 ч после начала эксперимента.
Похожие решебники
Популярные решебники 9 класс Все решебники
*К сожалению, временные проблемы с публикацией комментариев с мобильных устройств.