Упр.33 ГДЗ Мерзляк Полонский 8 класс (Алгебра)
Решение #1 (Учебник 2025)
Решение #2 (Учебник 2025)

Рассмотрим вариант решения задания из учебника Мерзляк, Полонская, Якир 8 класс, Просвещение:
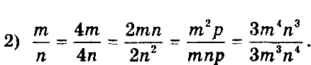
Восстановите равенства:
1) a/3 = /6a= /9a3 = /15b = 4a2c3/;
2) m/n = 4m/ = /2n2 = /mnp = 3m4n3/.
Похожие решебники
Популярные решебники 8 класс Все решебники
*К сожалению, временные проблемы с публикацией комментариев с мобильных устройств.