Упр.31 ГДЗ Мерзляк 8 класс (Алгебра)
Решение #1
Решение #2
Решение #3

Рассмотрим вариант решения задания из учебника Мерзляк, Полонская, Якир 8 класс, Вентана-Граф:
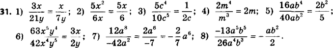
31. Сократите дробь:
1) 3x/21y;
2) 5x2/6x;
3) 5c4/10c5;
4) 2m4/m3;
5) 16ab4/40ab2;
6) 63x5y4/42x4y5;
7) 12a8/-12a2;
8) -13a5b5/26a4b8.
Похожие решебники
Популярные решебники 8 класс Все решебники
*К сожалению, временные проблемы с публикацией комментариев с мобильных устройств.