Упр.39 ГДЗ Мерзляк Полонский 8 класс (Алгебра)
Решение #1 (Учебник 2025)
Решение #2 (Учебник 2025)

Рассмотрим вариант решения задания из учебника Мерзляк, Полонская, Якир 8 класс, Просвещение:
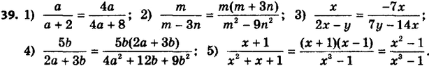
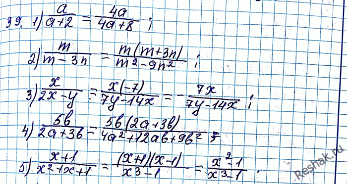
Приведите дробь:
1) a/(a+2) к знаменателю 4a+8;
2) m/(m-3n) к знаменателю m2-9n2;
3) x/(2x-y) к знаменателю 7у-14х;
4) 5b/(2a+3b) к знаменателю 4a2+12ab+9b2;
5) (x+1)/(x2+x+1) к знаменателю х3-1.
Похожие решебники
Популярные решебники 8 класс Все решебники
*К сожалению, временные проблемы с публикацией комментариев с мобильных устройств.