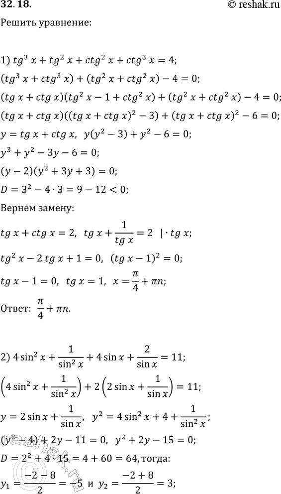
Упр.32.18 ГДЗ Мерзляк 10 класс Углубленный уровень (Алгебра)
Решение #1

Рассмотрим вариант решения задания из учебника Мерзляк, Номировский, Поляков 10 класс, Просвещение:
32.18. Решите уравнение:
1) tg^3(x)+tg^2(x)+ctg^2(x)+ctg^3(x)=4;
2) 4sin^2(x)+1/sin^2(x)+4sin(x)+2/sin(x)=11.
Похожие решебники
Популярные решебники 10 класс Все решебники
*размещая тексты в комментариях ниже, вы автоматически соглашаетесь с пользовательским соглашением