Упр.32.23 ГДЗ Мерзляк 10 класс Углубленный уровень (Алгебра)
Решение #1

Рассмотрим вариант решения задания из учебника Мерзляк, Номировский, Поляков 10 класс, Просвещение:
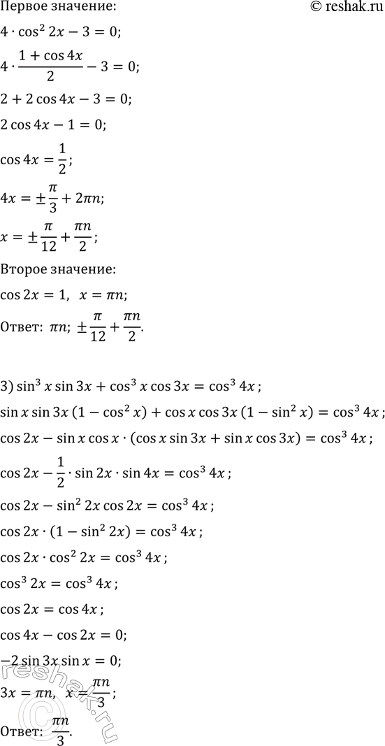
32.23. Решите уравнение:
1) 3cos(x)+3sin(x)+sin(3x)-cos(3x)=0;
2) cos(4x)=cos^2(3x);
3) sin^3(x)sin(3x)+cos^3(x)cos(3x)=cos^3(4x).
Похожие решебники
Популярные решебники 10 класс Все решебники
*размещая тексты в комментариях ниже, вы автоматически соглашаетесь с пользовательским соглашением