Упр.3.56 ГДЗ Дорофеев Суворова 7 класс (Алгебра)
Решение #1

Рассмотрим вариант решения задания из учебника Дорофеев, Суворова, Бунимович 7 класс, Просвещение:
Упростите:
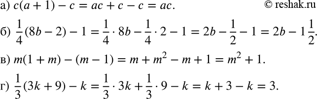
а) с(а + 1) - с;
б) 1/4* (8b-2)-1;
в) m(1 + m) - (m - 1);
г) 1/3* (3k + 9)-k.
Популярные решебники 7 класс Все решебники
*К сожалению, временные проблемы с публикацией комментариев с мобильных устройств.