Упр.3.52 ГДЗ Дорофеев Суворова 7 класс (Алгебра)
Решение #1

Рассмотрим вариант решения задания из учебника Дорофеев, Суворова, Бунимович 7 класс, Просвещение:
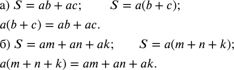
Составьте два выражения для вычисления площади фигуры (рис. 3.8, а, б) и покажите, как одно из этих выражений можно преобразовать в другое.
Популярные решебники 7 класс Все решебники
*К сожалению, временные проблемы с публикацией комментариев с мобильных устройств.