Упр.3.55 ГДЗ Дорофеев Суворова 7 класс (Алгебра)
Решение #1

Рассмотрим вариант решения задания из учебника Дорофеев, Суворова, Бунимович 7 класс, Просвещение:
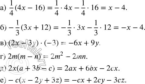
Раскройте скобки в произведении:
a) 1/4* (4x - 16);
б) -1/3* (3x + 12);
в) (2х - 3у) * (-3);
г) 2m (m - n);
д) 2х (а + 3b - с);
е) -с(х -2у + 3z).
Популярные решебники 7 класс Все решебники
*размещая тексты в комментариях ниже, вы автоматически соглашаетесь с пользовательским соглашением