Упр.3.48 ГДЗ Дорофеев Суворова 7 класс (Алгебра)
Решение #1

Рассмотрим вариант решения задания из учебника Дорофеев, Суворова, Бунимович 7 класс, Просвещение:
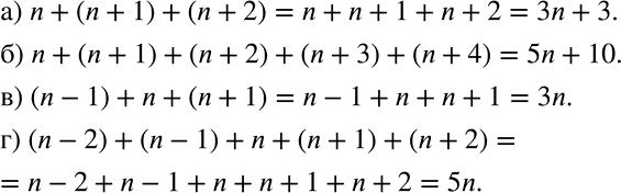
Запишите и упростите сумму:
а) трёх последовательных натуральных чисел, начиная с числа n;
б) пяти последовательных натуральных чисел, начиная с n;
в) трёх последовательных натуральных чисел, среднее из которых равно n;
г) пяти последовательных натуральных чисел, среднее из которых равно n.
Популярные решебники 7 класс Все решебники
*К сожалению, временные проблемы с публикацией комментариев с мобильных устройств.