Упр.298 ГДЗ Мерзляк 8 класс (Алгебра)
Решение #1
Решение #2
Решение #3

Рассмотрим вариант решения задания из учебника Мерзляк, Полонская, Якир 8 класс, Вентана-Граф:
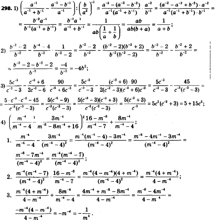
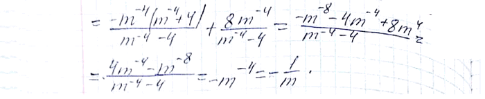
298. Упростите выражение и запишите результат в виде рационального выражения, не содержащего степени с отрицательным показателем:
1) (a^-1/(a^-1 + b^-1) - (a^-1 - b^-1)/a^-1) : (b/a2)^-1;
Похожие решебники
Популярные решебники 8 класс Все решебники
*размещая тексты в комментариях ниже, вы автоматически соглашаетесь с пользовательским соглашением