Упр.28 ГДЗ Мерзляк Полонский 7 класс (Алгебра)
Решение #1 (Учебник 2025)
Решение #2 (Учебник 2021)
Решение #3 (Учебник 2021)

Рассмотрим вариант решения задания из учебника Мерзляк, Полонская, Якир 7 класс, Вентана-Граф:
За перевод денег клиент должен уплатить банку комиссию в размере 2 % от суммы перевода. Сколько всего денег будет списано со счёта клиента, если он хочет перевести 60 000 р.?
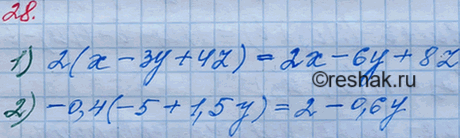
Раскройте скобки:
1) 2(х- 3у + 4z);
2) -0,4(-5 + 1,5y).
Похожие решебники
Популярные решебники 7 класс Все решебники
*К сожалению, временные проблемы с публикацией комментариев с мобильных устройств.