Упр.22 ГДЗ Мерзляк Полонский 7 класс (Алгебра)
Решение #1
Решение #2

Рассмотрим вариант решения задания из учебника Мерзляк, Полонская, Якир 7 класс, Вентана-Граф:
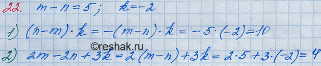
22. Значения переменных тип таковы, что m - n = 5, k = -2. Чему равно значение выражения:
1) (n - m)k;
2) 2m - 2n + 3k?
Похожие решебники
Популярные решебники 7 класс Все решебники
*К сожалению, временные проблемы с публикацией комментариев с мобильных устройств.