Упр.271 ГДЗ Никольский Потапов 7 класс (Алгебра)
Решение #1
Решение #2

Рассмотрим вариант решения задания из учебника Никольский, Потапов 7 класс, Просвещение:
271. Упростите:
а) (2а2b - 10b3) - (4а2b - 12b3);
б) (3ху2 + 7х2у) - (2ху2 - 6х2у);
в) 12аb - 30bс - Зсх - (15bс + 9сх);
г) (10аbс - 8bсх - 21сху) - (-6abc + bсх - сху);
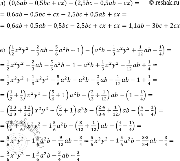
д) (0,баb - 0,5bс + сх) - (2,5bс - 0,5аb - сх);
е) (1/2*x2y2 - 2/3*х2у2 - 5/6*a2b) - (а2b -1/3*х2у2 + 1/12*ab - 1/4).
Популярные решебники 7 класс Все решебники
*К сожалению, временные проблемы с публикацией комментариев с мобильных устройств.