Упр.27.8 ГДЗ Мордкович Семенов 11 класс (Алгебра)
Решение #1 (Учебник 2025)
Решение #2 (Учебник 2022)

Рассмотрим вариант решения задания из учебника Мордкович, Семенов, Александрова 11 класс, Просвещение:
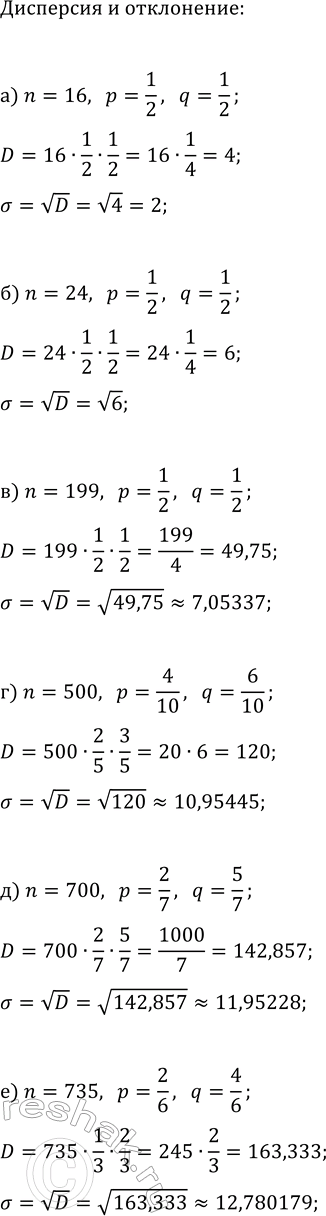
По значениям n и p из упражнения 27.5 «а» - «е» вычислите дисперсию и среднее квадратическое числа «удач».
Найдите область определения (ОДЗ) уравнения:
а) v(5-x)=v(x-2); г) v(5-x)/v(x-2)=2;
б) (lg(5-x)-1)/(lg(x-2)+1)=3; д) ln(5-x)/ln(x-2)=3;
в) v((5-x)/(x-2))·lg(x^2-4)=3; е) v((5-x)/(x-2))·lg(x^2-4)=3.
Похожие решебники
Популярные решебники 11 класс Все решебники
*К сожалению, временные проблемы с публикацией комментариев с мобильных устройств.