Упр.27.3 ГДЗ Мордкович Семенов 11 класс (Алгебра)
Решение #1 (Учебник 2025)
Решение #2 (Учебник 2022)

Рассмотрим вариант решения задания из учебника Мордкович, Семенов, Александрова 11 класс, Просвещение:
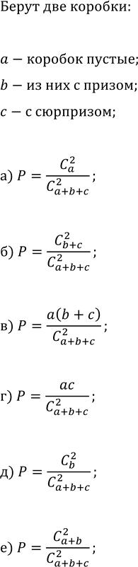
Наудачу выбирают две коробки. Используя числа сочетаний, запишите, какова вероятность того, что:
а) они обе пустые;
б) они обе не пустые;
в) одна из них пустая, а другая нет;
г) одна из них пустая, а другая — с сюрпризом;
д) они обе с призом;
е) в них нет сюрприза.
Распределите уравнения на пары равносильных друг другу. Укажите уравнение, которое оказалось без пары:
а) x^2+4x-45=0; 3^x=243; |x+2|=7; log_3(x)=2; v(x+11)=4;
б) (x^2-7x+12)/(x-4)=0; 5^x=625; |x-3,5|=0,5; log_16(x)=0,5; v(x^2+12)=v(7x);
в) 3x^2-13x-16=0; 2^(0,5x-1)=128; |3x+1|=0; log_2(x)=4; v(6x+11)=3;
г) (x^2-7x+10)/(x-2)=0; 6^x=36; |x-3,5|=1,5; log_0,2(x)=-1; v(x^2+10)=v(7x).
Похожие решебники
Популярные решебники 11 класс Все решебники
*К сожалению, временные проблемы с публикацией комментариев с мобильных устройств.