Упр.27.4 ГДЗ Мордкович Семенов 11 класс (Алгебра)
Решение #1 (Учебник 2025)
Решение #2 (Учебник 2022)

Рассмотрим вариант решения задания из учебника Мордкович, Семенов, Александрова 11 класс, Просвещение:
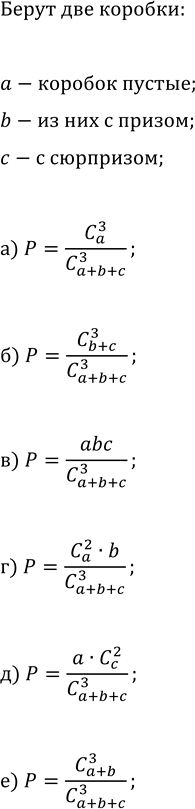
Наудачу выбирают три коробки. Используя числа сочетаний, запишите, какова вероятность того, что:
а) все они пустые;
б) все они не пустые;
в) одна из них пустая, одна с призом и одна с сюрпризом;
г) две из них пустые, а одна с призом;
д) одна пустая и две с сюрпризом;
е) в них нет сюрприза.
Придумайте три уравнения, равносильных уравнению:
а) |x-3|=0; г) |x+2|=0;
б) sin(x)=2; д) cos(x)=-4;
в) log_3(x^2)=4; е) v(x^2-4)=0.
Похожие решебники
Популярные решебники 11 класс Все решебники
*К сожалению, временные проблемы с публикацией комментариев с мобильных устройств.