Упр.27.27 ГДЗ Мерзляк 10 класс Углубленный уровень (Алгебра)
Решение #1

Рассмотрим вариант решения задания из учебника Мерзляк, Номировский, Поляков 10 класс, Просвещение:
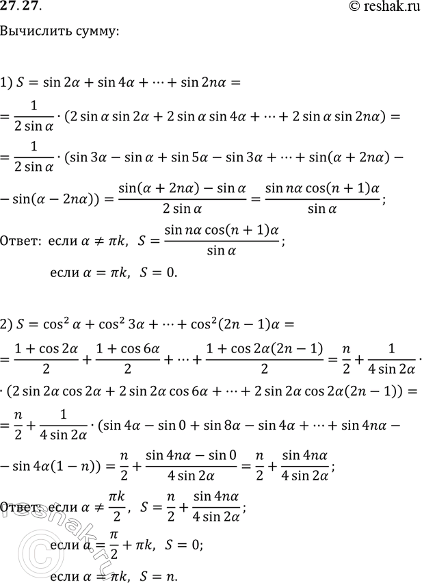
27.27. Вычислите сумму:
1) S=sin(2О±)+sin(4О±)+...+sin(2nО±);
2) S=cos^2(О±)+cos^2(3О±)+...+cos^2((2n-1)О±).
Похожие решебники
Популярные решебники 10 класс Все решебники
*размещая тексты в комментариях ниже, вы автоматически соглашаетесь с пользовательским соглашением