Упр.28.2 ГДЗ Мерзляк 10 класс Углубленный уровень (Алгебра)
Решение #1

Рассмотрим вариант решения задания из учебника Мерзляк, Номировский, Поляков 10 класс, Просвещение:
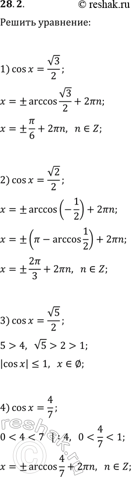
28.2. Решите уравнение:
1) cos(x)=v3/2; 3) cos(x)=v5/2;
2) cos(x)=-1/2; 4) cos(x)=4/7.
Похожие решебники
Популярные решебники 10 класс Все решебники
*размещая тексты в комментариях ниже, вы автоматически соглашаетесь с пользовательским соглашением