Упр.28.1 ГДЗ Мерзляк 10 класс Углубленный уровень (Алгебра)
Решение #1

Рассмотрим вариант решения задания из учебника Мерзляк, Номировский, Поляков 10 класс, Просвещение:
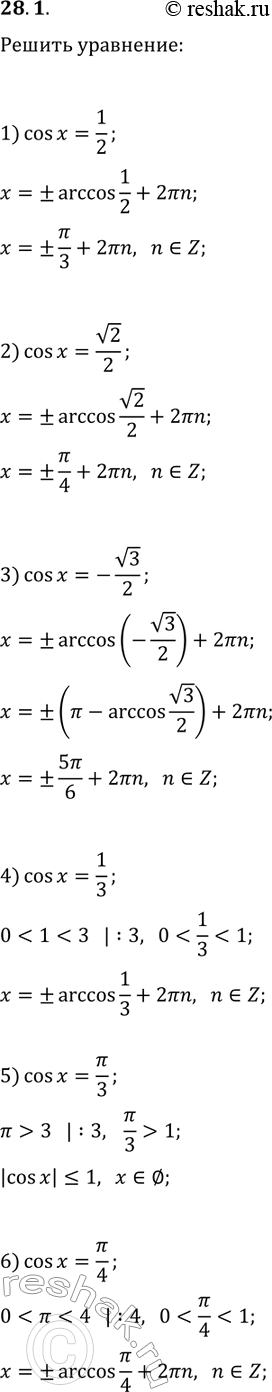
28.1. Решите уравнение:
1) cos(x)=1/2; 3) cos(x)=-v3/2; 5) cos(x)=?/3;
2) cos(x)=v2/2; 4) cos(x)=1/3; 6) cos(x)=?/4.
Похожие решебники
Популярные решебники 10 класс Все решебники
*размещая тексты в комментариях ниже, вы автоматически соглашаетесь с пользовательским соглашением