Упр.25.15 ГДЗ Мордкович Семенов 11 класс (Алгебра)
Решение #1 (Учебник 2025)

Рассмотрим вариант решения задания из учебника Мордкович, Семенов, Александрова 11 класс, Просвещение:
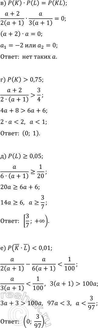
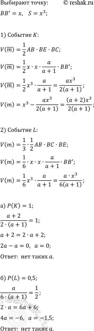
Для параметра a > 0 в кубе ABCDA'B'C'D' отметили точку E ? [B; B'] так, что BE = a · EB'. В кубе наудачу выбирают точку K и рассматривают события K — «X лежит выше плоскости ADE», L — «X принадлежит пирамиде EABC». Найдите все значения a, при которых:
а) P(K) = 1; г) P(K) > 0,75;
б) P(L) = 0,5; д) P(L) ? 0,05;
в) K и L — независимые события; е) P(!K · !L) < 0,01.
Похожие решебники
Популярные решебники 11 класс Все решебники
*К сожалению, временные проблемы с публикацией комментариев с мобильных устройств.