Упр.25.12 ГДЗ Мордкович Семенов 11 класс (Алгебра)
Решение #1 (Учебник 2025)
Решение #2 (Учебник 2022)

Рассмотрим вариант решения задания из учебника Мордкович, Семенов, Александрова 11 класс, Просвещение:
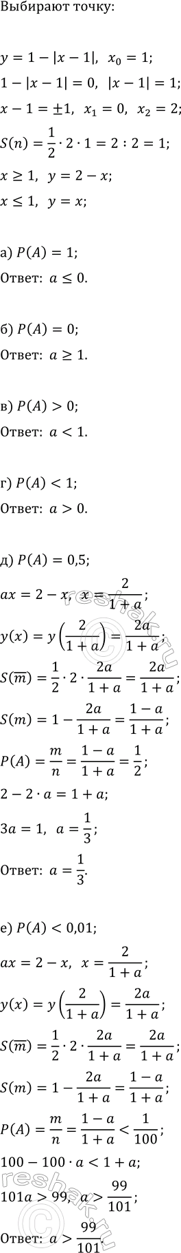
Выбирают точку первой координатной четверти ниже графика y = 1 - |x - 1|. Найдите все значения a, при которых вероятность того, что она окажется выше прямой y = ax, будет:
а) равна 1;
б) равна 0;
в) положительна;
г) меньше 1;
д) равна 0,5;
е) меньше 0,01.
На рисунке 151 изображён график производной функции y=g(x).
С помощью графика найдите значения х, в которых касательная к графику функции y=g(x) параллельна прямой:
а) y=3; в) y=2x+5;
б) y=-2; г) y=-x+1.
Похожие решебники
Популярные решебники 11 класс Все решебники
*К сожалению, временные проблемы с публикацией комментариев с мобильных устройств.