Упр.25.11 ГДЗ Мордкович Семенов 11 класс (Алгебра)
Решение #1 (Учебник 2025)
Решение #2 (Учебник 2022)

Рассмотрим вариант решения задания из учебника Мордкович, Семенов, Александрова 11 класс, Просвещение:
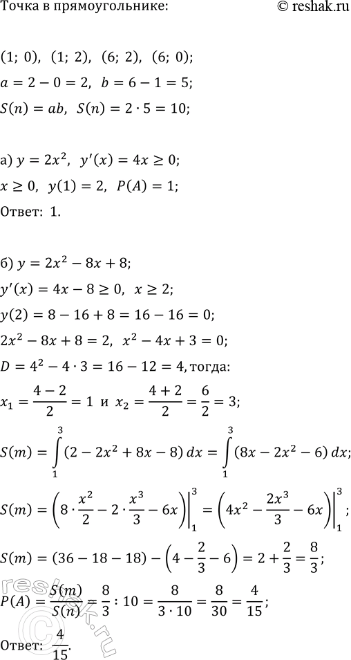
В прямоугольнике с вершинами (1; 0), (1; 2), (6; 2), (6; 0) наудачу выбирают точку. Какова вероятность того, что она окажется:
а) ниже параболы y = 2x^2;
б) выше параболы y = 2x^2 - 8x + 8;
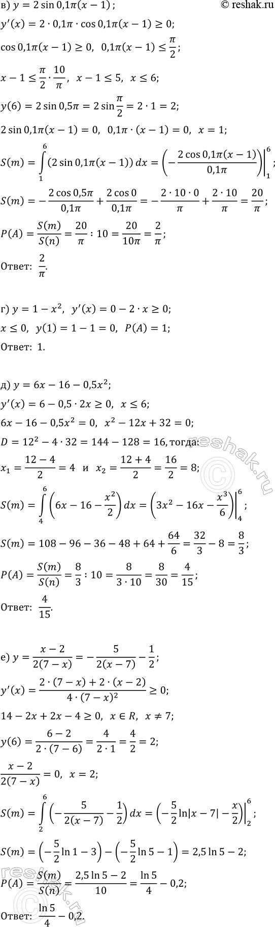
в) ниже графика функции y = 2sin(0,1?(x - 1));
г) выше параболы y = 1 - x^2;
д) ниже параболы y = 6x - 16 - 0,5x^2;
е) ниже графика функции y = (x - 2) / (2(7 - x))?
На рисунке 150 изображён график функции y=f(x) и касательные к нему, проведённые в точках x_1, x_2, x_3, x_4.
Найдите:
а) значение производной в точке x_1;
б) тангенс угла наклона касательной в точке x_2;
в) угловой коэффициент касательной в точке x_3;
г) угол наклона касательной в точке х_4.
Похожие решебники
Популярные решебники 11 класс Все решебники
*К сожалению, временные проблемы с публикацией комментариев с мобильных устройств.