Упр.25.6 ГДЗ Мордкович Семенов 11 класс (Алгебра)
Решение #1 (Учебник 2025)
Решение #2 (Учебник 2022)

Рассмотрим вариант решения задания из учебника Мордкович, Семенов, Александрова 11 класс, Просвещение:
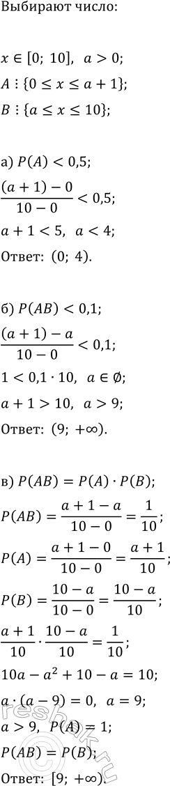
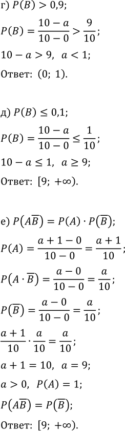
Наудачу выбирают число x из отрезка [0; 10] и для положительного параметра a рассматривают события A — «0 ? x ? a + 1», B — «a ? x ? 10». Найдите все значения a, при которых:
а) P(A) < 0,5;
б) P(AB) < 0,1;
в) A и B — независимые события;
г) P(B) > 0,9;
д) P(B) ? 0,1;
е) A и !B — независимые события.
Для выполнения упражнений 25.6—25.10 используйте таблицу значений функции Лапласа у=Ф(х) (см. приложение).
25.6. Найдите:
а) Ф(0); б) Ф(1); д) Ф(2);
б) Ф(0,5); г) Ф(1,5); е) Ф(2,5).
Похожие решебники
Популярные решебники 11 класс Все решебники
*К сожалению, временные проблемы с публикацией комментариев с мобильных устройств.