Упр.24.24 ГДЗ Мерзляк 10 класс Углубленный уровень (Алгебра)
Решение #1

Рассмотрим вариант решения задания из учебника Мерзляк, Номировский, Поляков 10 класс, Просвещение:
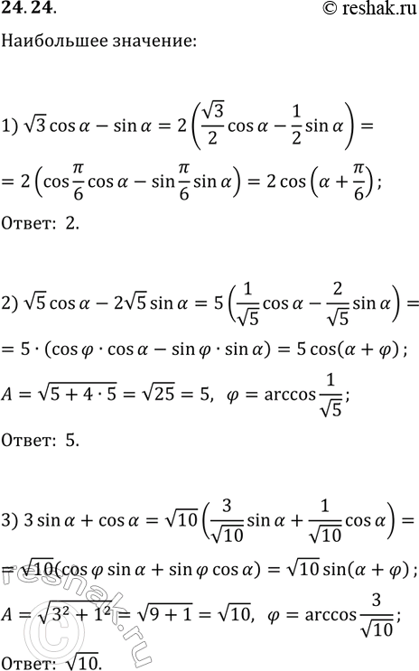
24.24. Найдите наибольшее значение выражения:
1) v3cos(?)-sin(?); 3) 3sin(?)+cos(?).
2) v5cos(?)-2v5sin(?);
Похожие решебники
Популярные решебники 10 класс Все решебники
*размещая тексты в комментариях ниже, вы автоматически соглашаетесь с пользовательским соглашением