Упр.24.21 ГДЗ Мерзляк 10 класс Углубленный уровень (Алгебра)
Решение #1

Рассмотрим вариант решения задания из учебника Мерзляк, Номировский, Поляков 10 класс, Просвещение:
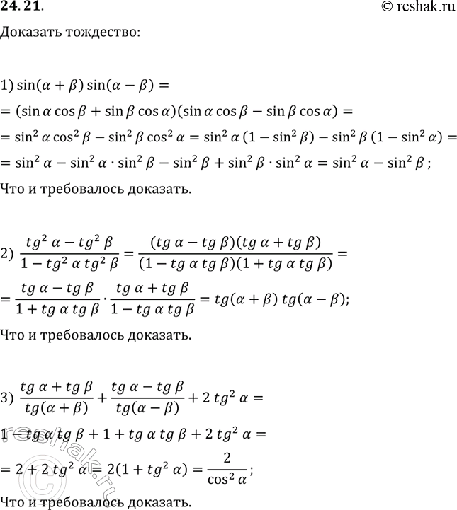
24.21. Докажите тождество:
1) sin(?+?)sin(?-?)=sin^2(?)-sin^2(?);
2) (tg^2(?)-tg^2(?))/(1-tg^2(?)tg^2(?))=tg(?+?)tg(?-?);
3) (tg(?)+tg(?))/tg(?+?)+(tg(?)-tg(?))/tg(?-?)+2tg^2(?)=2/cos^2(?).
Похожие решебники
Популярные решебники 10 класс Все решебники
*размещая тексты в комментариях ниже, вы автоматически соглашаетесь с пользовательским соглашением