Упр.24.23 ГДЗ Мерзляк 10 класс Углубленный уровень (Алгебра)
Решение #1

Рассмотрим вариант решения задания из учебника Мерзляк, Номировский, Поляков 10 класс, Просвещение:
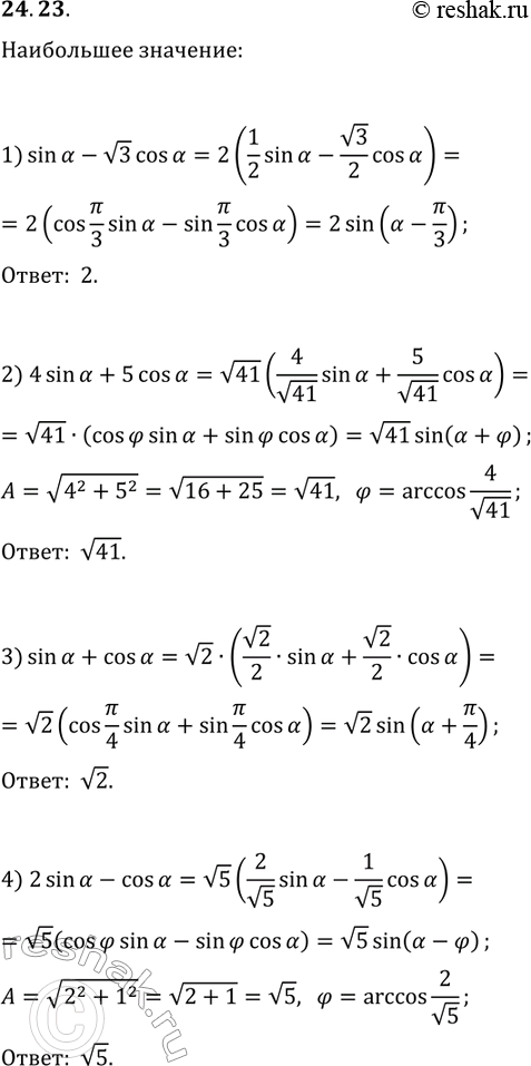
24.23. Найдите наибольшее значение выражения:
1) sin(?)-v3cos(?); 3) sin(?)+cos(?);
2) 4sin(?)+5cos(?); 4) 2sin(?)-cos(?).
Похожие решебники
Популярные решебники 10 класс Все решебники
*размещая тексты в комментариях ниже, вы автоматически соглашаетесь с пользовательским соглашением